函数是高数研究的对象,而极限是研究函数的工具,而本章将通过极限这个工具,研究函数的连续性。
函数
课程要点

函数的概念

- 因为定义域和对应法则有了,值域也就确定了。
下面是一些常用的函数

复合函数
内层函数值域和外层函数定义域的交集不为空才能复合

例题

反函数

- 单调函数一定有反函数,但是有反函数不一定单调。
- 有反函数的充要条件是,定义域内任取两个不相等的数,他们所对应y值也一定不相等,即f是定义域到值域的一一映射。

-
注意,反函数x和y位置互换的两种写法虽然没有问题,但是其图像是不一样的,是关于x=y对称的,详见第三题。
-
第四题是映射过去又映射回来了,所以答案是x不变。

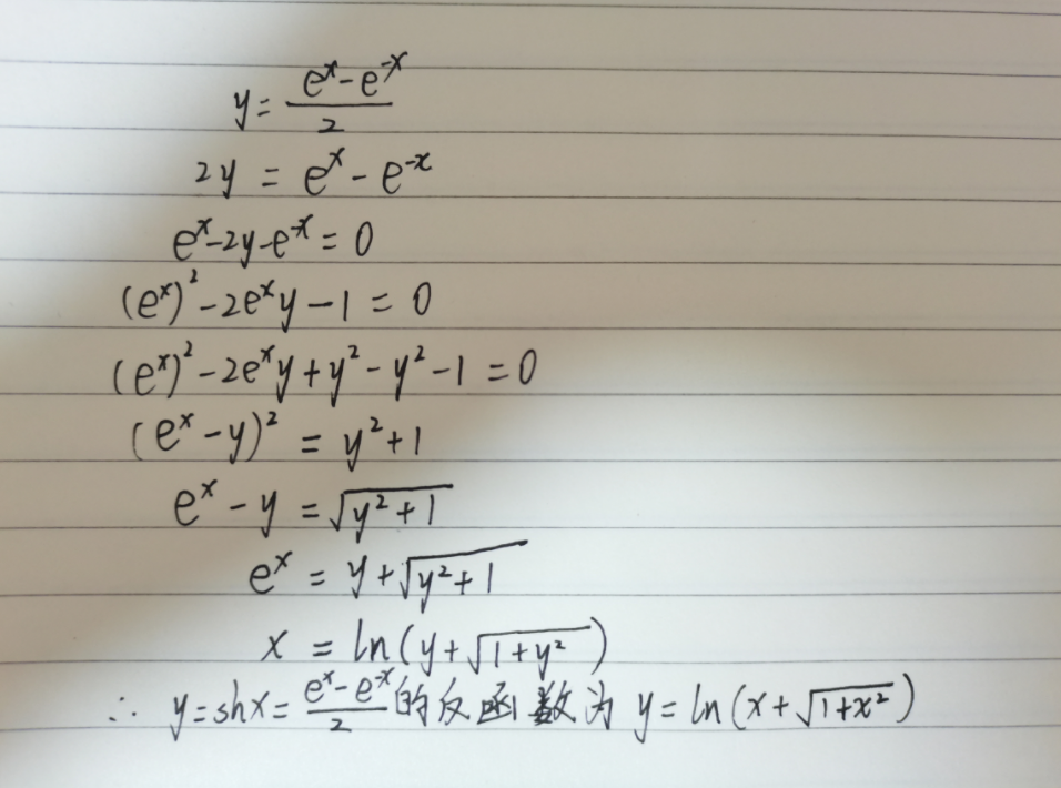
- 上面这个例三讲解了如何求反函数,其实就是将x用y表示出来,我们可以发现式子里面有个e的x次方,我们先将e的x次方用y表示出来,剩下的工作就简单了。
- 具体的解题步骤如下:

初等函数


函数的性质
单调性和奇偶性


周期性

有界性


奇偶性
加法
- 偶函数+偶函数=偶函数
- 奇函数+奇函数=奇函数
- 偶函数+奇函数=非奇非偶函数
乘法
- 偶函数 × 偶函数 = 偶函数
- 奇函数 × 奇函数 = 偶函数
- 偶函数 × 奇函数 = 奇函数
极限
课程要点


数列的极限
概念



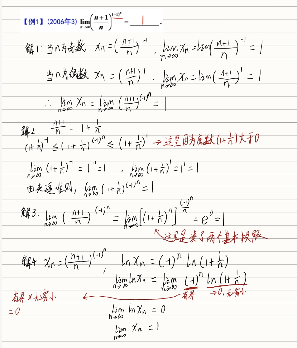
- 因为该函数奇数列极限=偶数列极限=1,所以原数列极限也等于1

常用基本结论

证明:

- 后面很多地方会用到第二条结论,因为取绝对值之后就没有正负号的干扰,进行一些放缩操作就更加容易了。
函数的极限
自变量趋于无穷大

- 注意,函数极限可以推出数列极限,而数列极限不能推出函数极限(一般可以推特殊,而特殊不能推一般)。
- 我们有时候求数列极限,就是先求函数极限,然后由此推出数列极限。


自变量趋于有限值


左极限与右极限


典型例题

该例子中很明显考察了左右极限问题的第二条,这种一定要分左右极限来单独讨论。


极限的性质
有界性
注意下面这两条反过来都不成立,证明其不成立,举反例即可,我们学习过程中应该积累一些常用的反例。
我单开了一篇文章专门整理反例和常见错误,详见:高数常用反例及经典错误

保号性
- 极限值的正负保数列项的正负(不带等号)
- 数列项的正负保极限值的正负(带等号)
不管是数列还是函数,一定要记住,极限值保数列(函数)项不加等号,数列(函数)项保极限值加等号。


经典例题

也可以用排除法来解这道题,题目中出现一般函数时,我们就可以使用排除法,何为一般函数?其实就是只告诉哦我们 f 满足什么条件,但没有给出 f 的表达式。比如这道题只知道极限等于-1,但是不知道 f 是啥。
换句话说,一般函数就是一般普适情况下的函数,而非某种具体表达式的特殊情况。
那么出现一般函数的情况下我们该如何使用排除法呢?实际上我们需要找一些特殊函数(具体函数),证明三个选项是错的,那么就能找到正确选项了。

极限值与无穷小的关系

注意,三条性质中最重要的是保号性。
极限存在准则

夹逼准则


单调有界准则

无穷小量

例题

无穷小的性质

无穷大量
概念

常用无穷大量的比较
无穷大量的比较是相当有用的,通过无穷大量的比较,很多题我们根据函数类型就能直接得出结论。

该例题中f,g,h分别为对数,幂,指数,通过无穷大量比较即可得出答案为C。
无穷大量的性质

无穷大量与无界变量的关系

无穷大量与无穷小量的关系

极限内容总结
- 概念
- 性质
- 存在准则
- 无穷小
- 无穷大